NCERT Solutions for Class 11 Maths Chapter 3 Trigonometric Functions Ex 3.3
are the part of NCERT Solutions for Class 11 Maths. In this post, you will find the NCERT
Solutions for Class 11 Maths Chapter 3 Trigonometric Functions Ex 3.3.
NCERT Solutions for Class 11 Maths Chapter 3 Trigonometric Functions Ex 3.3
Ex 3.3 Class 11 Maths Question 1.
Prove
that:
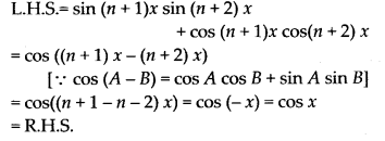
Solution:
Solution:
Solution:
Solution:
5.
Find the value of:
(i)
sin 75°
(ii) tan
15°
Solution:
(i)
sin 75° = sin (30° + 45°)
(ii)
tan 15° = tan (45° – 30°)
Prove
the following:
Solution:
Solution:
Solution:
Solution:
Solution:
Solution:
Solution:
Solution:
Solution:
Solution:
Solution:
Solution:
Solution:
Solution:
22. cot x cot 2x – cot 2x cot 3x – cot 3x cot x = 1
Solution:
We know that 3x = 2x + x.
Therefore,
Solution:
24. cos
4x = 1 – 8 sin2 x cos2 x
Solution:
Solution:
Related Links:
NCERT Solutions for Maths Class 9













































